Overview
Enterprise Resource Planning (ERP) encompasses integrated software solutions designed to automate and manage crucial organizational processes across various departments. This integration significantly enhances operational efficiency and decision-making capabilities. By centralizing data, ERP systems reduce redundancies and foster improved collaboration. Such features are essential for organizations striving to adapt to market changes and meet customer demands effectively. Notably, statistics reveal that businesses experience enhanced customer satisfaction and return on investment (ROI) following ERP implementation.
As organizations face increasing complexity in operations, the adoption of ERP systems becomes imperative. These systems not only streamline processes but also provide valuable insights that drive strategic decisions. For Operations Managers, the implementation of ERP solutions is not just a technological upgrade; it is a strategic move towards operational excellence. By leveraging ERP, organizations can position themselves to respond swiftly to evolving market dynamics and customer expectations.
Introduction
Understanding the intricacies of Enterprise Resource Planning (ERP) is essential for operations managers navigating the complexities of modern business landscapes. These integrated software solutions promise to streamline processes across various departments, enhancing efficiency and decision-making capabilities. However, the road to successful ERP implementation is fraught with challenges—ranging from resistance to change to budget overruns.
How can managers leverage the full potential of ERP systems while mitigating the risks associated with their deployment? This article delves into the core concepts, functionalities, and best practices of ERP, equipping operations managers with the insights needed to thrive in an increasingly competitive environment.
Define ERP: Core Concepts and Importance
Whats erp refers to [Enterprise Resource Planning](https://10xerp.com/?p=1596) (ERP), which encompasses integrated software solutions designed to oversee and automate essential organizational processes across various departments, including finance, human resources, supply chain, and manufacturing. The primary objective of whats erp is to streamline operations and provide a unified view of organizational data, which facilitates informed decision-making and boosts efficiency. By centralizing information, ERP systems effectively eradicate data silos, reduce redundancy, and promote collaboration among departments. This integration is particularly vital for growing distributors, allowing them to swiftly respond to market fluctuations and customer demands while maintaining operational efficiency.
10X ERP stands out as a comprehensive [cloud-based ERP solution](https://10xerp.com/features) specifically crafted for distributors, delivering a seamless user experience and rapid onboarding. With a suite of all-encompassing features—such as , inventory management, vendor and client management, unlimited integrations via modern APIs, and lightning-fast performance—10X ERP ensures that companies possess all essential components, eliminating the need to source separate modules. The software’s transparent pricing model enables managers to readily understand the value they gain as they expand.
The significance of whats erp solutions is profound; they form the backbone of contemporary commercial activities by providing real-time insights and analytics that inform strategic planning and enhance efficiency. For example, 70% of companies reported improved customer experiences post-ERP implementation, while 38% noted increased responsiveness to shifting customer demands. Moreover, organizations that conducted an ROI analysis prior to implementation found that 83% met their ROI expectations, underscoring the tangible benefits of ERP.
For operations managers, understanding whats erp fundamentals is crucial for leveraging its capabilities to optimize workflows and boost productivity. As the whats erp market continues to expand, projected to approach nearly $62 billion by 2028, grasping these platforms will be essential for maintaining a competitive edge in an increasingly complex commercial landscape. Additionally, with 12% of companies seeking to acquire ERP software operating in services, it is evident that ERP’s relevance spans diverse sectors. As Steve Bennett highlights, 88% of companies assert that adopting whats erp has significantly contributed to their success, underscoring the importance of these solutions. However, it is equally important to acknowledge that half of all ERP implementations fail on the initial attempt, and 65% of organizations view AI as crucial in ERP frameworks, pointing to trends that managers should consider. Practical examples of successful ERP integration can further illustrate the impact of these frameworks on corporate operations.

Explore ERP Functionalities: Streamlining Operations
Whats erp solutions offer a robust suite of features designed to across various organizational functions, significantly enhancing efficiency and decision-making. The key functionalities include:
- Accounting and Financial Management: Automating financial processes, ERP solutions offer real-time visibility into financial performance, facilitating budgeting, forecasting, and reporting. This automation decreases manual errors by up to 70% and enables organizations to make decisions 36% faster post-implementation.
- Inventory Management: ERP solutions improve inventory control with features such as lot and serial tracking, assisting companies in maintaining optimal inventory levels. This capability results in a 38% reduction in inventory levels and enhances order fulfillment accuracy, ultimately lowering carrying costs and boosting liquidity. 10X ERP delivers advanced inventory management solutions with customizable features and robust cross-referencing, ensuring companies have precise knowledge of their inventory at all times.
- Supply Chain Management: Enhanced visibility through ERP solutions leads to better demand forecasting, procurement, and logistics management. Organizations utilizing ERP analytics report a 30% increase in ROI within three years, underscoring the effectiveness of these tools in streamlining supply chain operations.
- Customer Relationship Management (CRM): Integrated CRM functionalities empower organizations to manage customer interactions efficiently, track sales leads, and analyze customer data. This integration promotes superior service and retention, aligning with the increasing emphasis on customer experience in conjunction with ERP adoption.
- Human Resources Management: ERP solutions refine HR processes, including payroll, benefits administration, and performance management. This enhancement ensures compliance and boosts employee satisfaction, fostering a more engaged workforce.
By leveraging these functionalities, managers can significantly enhance efficiency, reduce costs, and elevate overall business performance, ultimately helping them understand what’s ERP for sustained growth in a competitive landscape.

Implement ERP: A Step-by-Step Guide for Operations Managers
When considering what’s ERP, can be a complex process; however, a structured approach can facilitate a successful rollout. Here’s a step-by-step guide for operations managers:
- Define Objectives: Clearly outline the goals you want to achieve with the ERP software, such as improving efficiency, reducing costs, or enhancing customer service. Establishing specific objectives is crucial, as organizations that define their goals effectively are more likely to see a successful implementation.
- Assemble a Project Team: Form a cross-functional team that includes stakeholders from various departments. This guarantees that all viewpoints are taken into account during execution, which is essential for aligning the ERP solution with organizational requirements.
- Choose the Appropriate ERP Solution: Assess various ERP platforms according to your established goals, budget, and scalability requirements. Consider factors such as user-friendliness, integration capabilities, and the vendor’s track record. Organizations that engage in thorough evaluations often report higher satisfaction rates post-implementation.
- Plan the Implementation: Develop a detailed project plan that includes timelines, milestones, and resource allocation. Ensure that you have a change management strategy in place to address potential resistance, as internal alignment and leadership support are critical for success.
- Data Migration: Prepare for data migration by cleaning and organizing existing data. Ensuring data integrity during the transition to the new platform is crucial, as the data migration stage can use a considerable amount of project resources.
- Training and Testing: Conduct comprehensive training sessions for users to familiarize them with the new platform. Effective training is a common factor in successful ERP implementations, as it reduces the likelihood of operational issues. Perform testing to identify and resolve any issues before going live.
- Go Live: Launch the ERP platform and monitor its performance closely. Be prepared to address any immediate challenges that arise, as 49% of companies go live on schedule, while others may experience delays.
- Continuous Improvement: After implementation, gather feedback from users and consistently evaluate the performance to identify areas for enhancement. Organizations that prioritize ongoing evaluation often achieve better long-term results.
By following these steps, managers can effectively implement an ERP solution, or whats erp, that meets their organization’s requirements, ultimately leading to improved efficiency and enhanced decision-making abilities.

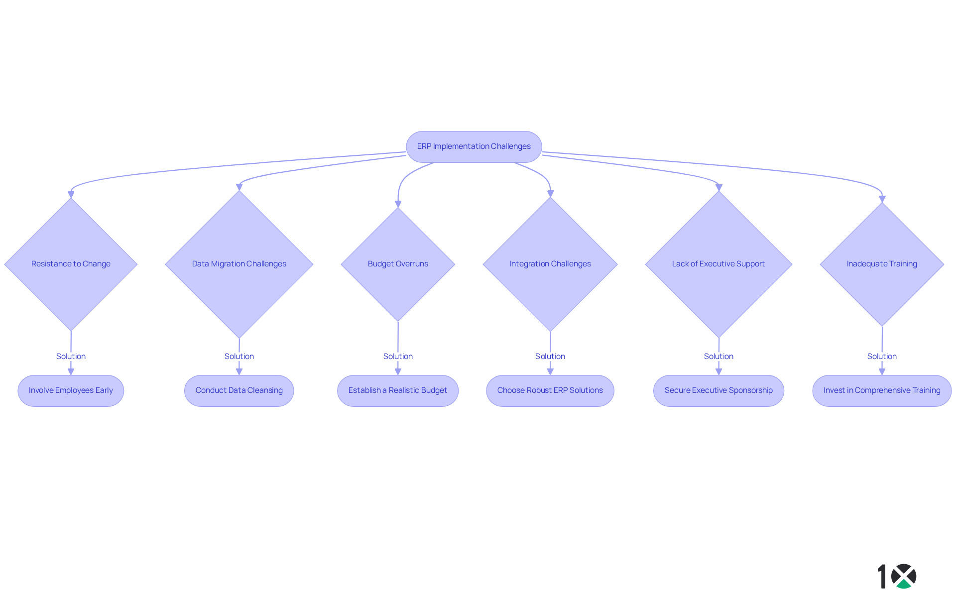
Address Challenges: Navigating ERP Implementation Hurdles
Implementing an ERP solution raises several challenges that operations managers must navigate, especially when considering what’s ERP. Recognizing these hurdles is crucial to ensuring a successful implementation. Here are some common challenges along with effective strategies to address them:
- Resistance to Change: Employees often hesitate to embrace new processes. To mitigate this, involve them early in the process and provide comprehensive training to facilitate a smoother transition.
- Data Migration Challenges: Moving information from outdated platforms can lead to inaccuracies. Conduct thorough data cleansing and validation before migration to ensure data integrity and reliability.
- Budget Overruns: ERP implementations frequently exceed initial budgets due to unforeseen complexities. Establish a realistic budget that includes contingency plans to manage unexpected costs effectively. Research indicates that up to 64% of ERP projects go over budget, highlighting the importance of careful financial planning.
- Integration Challenges: Merging the ERP platform with current software can be complex. Opt for an ERP solution with robust integration capabilities and allocate sufficient time for thorough testing to ensure seamless functionality.
- Lack of Executive Support: Without buy-in from top management, ERP projects may struggle to gain traction. Secure executive sponsorship to champion the project and ensure the allocation of necessary resources.
- Inadequate Training: Insufficient training can lead to user frustration and decreased productivity. Invest in comprehensive training programs tailored to different user roles, as effective training is crucial for maximizing system utilization.
By proactively addressing these challenges, operations managers can significantly enhance the likelihood of a successful implementation of what’s ERP. This approach ultimately leads to improved and business performance.

Conclusion
Enterprise Resource Planning (ERP) systems stand as essential tools for operations managers focused on enhancing organizational efficiency and streamlining processes. By integrating diverse functions—from finance to supply chain management—ERP solutions offer not only a comprehensive view of data but also empower organizations to respond swiftly to market changes and customer demands. Recognizing the significance of these systems is crucial for managers who aspire to maintain a competitive edge in today’s intricate business landscape.
This article has delved into key concepts surrounding ERP, including its functionalities, implementation strategies, and the challenges that may arise during deployment. The benefits of ERP are evident, spanning from automating financial processes to improving inventory management and enhancing customer relationships. Furthermore, a structured approach to implementation—encompassing the definition of objectives, the assembly of a project team, and the provision of comprehensive training—underscores the importance of meticulous planning in achieving successful outcomes.
As organizations increasingly acknowledge the pivotal role of ERP in operational efficiency, it becomes imperative for operations managers to embrace these systems and their transformative potential. By proactively addressing implementation challenges and leveraging the full suite of ERP functionalities, managers can drive substantial improvements in productivity and decision-making. Ultimately, the successful adoption of ERP not only enhances internal processes but also positions organizations for sustained growth and success in an ever-evolving marketplace.
Frequently Asked Questions
What does ERP stand for and what is its purpose?
ERP stands for Enterprise Resource Planning. Its purpose is to oversee and automate essential organizational processes across various departments, such as finance, human resources, supply chain, and manufacturing, to streamline operations and provide a unified view of organizational data.
How do ERP systems benefit organizations?
ERP systems benefit organizations by centralizing information, eradicating data silos, reducing redundancy, and promoting collaboration among departments. This integration allows organizations to respond swiftly to market fluctuations and customer demands while maintaining operational efficiency.
What is 10X ERP and what features does it offer?
10X ERP is a comprehensive cloud-based ERP solution specifically designed for distributors. It offers a seamless user experience and rapid onboarding, with features including best-in-class accounting, inventory management, vendor and client management, unlimited integrations via modern APIs, and high performance.
What is the significance of ERP solutions in modern business?
ERP solutions are significant as they provide real-time insights and analytics that inform strategic planning and enhance efficiency. They form the backbone of contemporary commercial activities, with many companies reporting improved customer experiences and increased responsiveness after implementation.
What statistics highlight the effectiveness of ERP implementations?
Statistics show that 70% of companies reported improved customer experiences post-ERP implementation, and 38% noted increased responsiveness to shifting customer demands. Additionally, 83% of organizations that conducted an ROI analysis prior to implementation met their ROI expectations.
Why is understanding ERP fundamentals important for operations managers?
Understanding ERP fundamentals is crucial for operations managers as it enables them to leverage ERP capabilities to optimize workflows and boost productivity, which is essential for maintaining a competitive edge in a complex commercial landscape.
What is the projected growth of the ERP market?
The ERP market is projected to approach nearly $62 billion by 2028, indicating significant growth and the increasing importance of ERP systems across various sectors.
How do companies view the impact of ERP on their success?
According to Steve Bennett, 88% of companies assert that adopting ERP has significantly contributed to their success, highlighting the importance of these solutions in achieving business objectives.
What challenges do organizations face with ERP implementations?
It is noted that half of all ERP implementations fail on the initial attempt, which underscores the challenges organizations face in successfully integrating these systems.
What role does AI play in ERP frameworks?
65% of organizations view AI as crucial in ERP frameworks, indicating a trend that managers should consider when implementing ERP solutions.
